胭脂虫红法规允许的适用范围在扩大,释放了什么信号?

胭脂虫红法规允许的适用范围在扩大,释放了什么信号?
文:Chloe&Tony
近日,国家卫健委发布2022年第5号公告《关于乳糖酶等7种“三新食品”的公告》,该公告涉及番茄红、胭脂虫红扩大使用范围、乳糖酶新品种以及其它食品相关产品新品种。
作为聚焦天然功能原料发展及应用的植提桥,我们自然将目光聚焦在此次公告中的番茄红和胭脂虫红。

2022年第5号公告 番茄红、胭脂虫红扩大使用范围
信息来源:国家卫健委官网
其中番茄红作为着色剂已列入《食品安全国家标准 食品添加剂使用标准》(GB 2760),允许用于风味发酵乳、饮料类等食品类别,本次申请扩大使用范围用于冷冻鱼糜及其制品(包括鱼丸等)(食品类别09.02.03)和熟制水产品(可直接食用)(食品类别09.04)。
今天我们重点聊一下胭脂虫红。
01 胭脂虫红来源
胭脂虫红(Carmine),是从雌性胭脂虫干体中提取的天然色素,主要成分为胭脂红酸。
胭脂虫是什么?

带有胭脂虫的仙人掌
图源:千图网
胭脂虫(Cochineal)是一类寄生在仙人掌类植物的资源昆虫,属同翅目(Homoptera),粉蚧总科( Pseudococcoidea),洋红蚧科( Dactylopiidae),洋红蚧属( Dactylopius);洋红蚧属共有9个种,国外饲养用于生产胭脂虫红色素的主要为Dactylopius coccus Costa。
说到胭脂虫,这里还有一个鲜为人知的小故事。
02 蒂里与胭脂虫
最早认知和应用胭脂虫红色素是南美的印第安人,其在当地的使用历史已有600多年了。那么它是怎么被全球认知的呢?这里就要从大航海时代说起了。
随着大航海时代的开启,香料、咖啡、甘蔗等具有极高经济价值的植物,迅速在世界范围流通起来,并对国际贸易产生了巨大影响。
各种新的植物物种被引入欧洲,欧洲人对植物药用价值的探索得到了飞速发展,也促进了植物学、药物学等领域的进步。同时珍贵的植物资源,会在各国间引发激烈的争夺。
欧洲的海外贸易公司、商队、甚至海军,都花钱聘请植物学家到世界各地去寻找有价值的品种。当然,各国对植物资源的控制也十分严格,甚至会对植物走私者判处极刑。
胭脂虫就是在这种巨大利益趋势下,由一个植物学家不惜生命“违法”从墨西哥带入欧洲的。
在斯坦福大学历史系教授隆达·施宾格的《植物与帝国》一书中,详细描述了这个故事,大致的过程是这样的:
胭脂虫是寄生在一些特殊的仙人掌上,而这些仙人掌原本生长在如今的墨西哥境内,也就是当时西班牙的殖民地,所以与胭脂虫有关的颜料生意一直被西班牙垄断。
15万只这种小虫才能生成1公斤染色剂,虽然每年只能生产不到700吨的胭脂虫红,而这些可以让西班牙在欧洲市场上获得50万英镑的高额利润。
法国人特别喜欢用这种红色燃料印染的衣物和地毯,需求很大,眼看如此多的财富被拱手让人,法国政府坐不住了。
1776年,法国海军出钱,派了一位叫蒂里·梅农维尔的植物学家,让他去墨西哥“盗窃”珍贵的胭脂虫和仙人掌,并且在法国能培育出胭脂虫,就给他一笔天价的奖赏。
于是蒂里·梅农维尔假扮成贵族医生,徒步进入墨西哥腹地,冒险通过各种关卡,成功将胭脂虫和仙人掌偷运回法国。随后他在法属殖民地建立仙人掌种植园生产胭脂虫红。
这个故事也有些遗憾,因为两年后,蒂里就染上一种热病,很快去世了,享年才41岁。
或许你会觉得是老天开眼吧,他也“罪有应得”?
但不管怎么说,胭脂虫就这样从南美“爬”到了欧洲,进一步被全世界认识。
03 胭脂红酸——稳定的单体色素
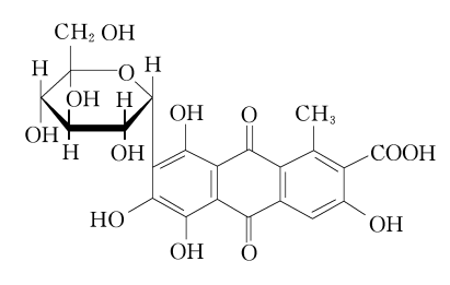
前面我们说到胭脂红酸(Carminic acid)是胭脂虫红中最主要的成分,其又称洋红酸,相对分子量为 492.39,是一种葡萄糖基化蒽醌(如下图),约占总着色化合物的 94%-98%。
与其他天然色素不同的是,胭脂虫红以含量而非色价标识产品等级。

胭脂红酸的分子结构
图源:GB1886.315-2021
胭脂红酸极易溶于水,在水中呈深红色,亦可溶解于其他溶液如甲醇、乙醇、丙酮、二甲基亚砜等极性溶剂,并产生不同的颜色,但不溶于乙醚、氯仿、石油醚、甲苯、苯等非极性或弱极性溶剂。
胭脂红酸pH适用范围为2-9,在不同的pH值下呈现不同的颜色:
在酸性溶液中,其颜色随着pH的不同,呈现出从黄色(pH=4.8)到深紫色(pH=6.2)的不同色彩。酸性条件下,加入明矾沉淀可进一步纯化胭脂红酸,并产生一种颜色更为鲜艳的红色铝盐,即胭脂虫红色淀,又称胭脂虫红铝(Carmine),被作为不溶性的红色染料使用。
胭脂红酸具有良好的光热稳定性和抗氧化性。因此,FAO/WHO认为胭脂红酸在食品添加剂领域的合理应用具有良好的安全性,FDA允许胭脂红酸用于食品同时也可用于医药品和化妆品。
此外日本厚生劳动省、澳大利亚和新西兰食品标准局等允许其作为着色剂用于食品。根据联合国粮农组织/世界卫生组织食品添加剂联合专家委员会评估结果,该物质的每日允许摄入量为0-5mg/kg bw。
在我国,胭脂虫红作为食品添加剂已列入《食品安全国家标准 食品添加剂使用标准》(GB 2760),允许用于冷冻饮品、糖果、焙烤食品、熟肉制品以及此次申请扩大使用范围用于调理肉制品(生肉添加调理料)。

其质量规格执行《食品安全国家标准 食品添加剂 胭脂虫红及其铝色淀》(GB 1886.315)。(具体应用范围,详见文后附表)
在蒂里那个时代,像胭脂虫这样稀有品种的养殖或是植物品种的培育,是绝对的保密技术,这也是我们现在常说的“卡脖子”技术。那么当下,胭脂虫红的研发及应用情况又是怎样的呢?
04 难以突破的“卡脖子”技术
目前世界上进行胭脂虫红生产及技术研究的主要国家有西班牙、秘鲁、日本、德国等,其中秘鲁是胭脂虫及胭脂虫红的最大出口国。主要消费国是欧美和日本。
胭脂虫红的生产除需大型仙人掌种植园外,还需人工从仙人掌上收获胭脂虫并进行干燥。此外,从胭脂虫中提取胭脂虫红也是至关重要的过程。其提取工艺虽已有几百年历史,但世界各国仍在进一步摸索。
目前国际上都有哪些主要的供应商呢?
1.秘鲁CNT
这是一家专业从事食品工业、化妆品和制药业着色剂的生产和销售公司,在当地和国际市场拥有70多年的丰富经验,是秘鲁最大的工业和商业集团之一。
CNT推出的胭脂虫红是胭脂红酸的钙铝复合物,由胭脂虫粉用水提取而得的,提供从红色到紫色的一系列颜色,主要用于食品工业,化妆品和制药行业。

图源:CNT
产品特点:可分散于油脂、染色牢度高、不溶于水、溶于碱性溶液、耐光热。
使用范围:乳制品、糖果、果冻、果酱和糖浆、饮料/果汁、烘焙食品、化妆品和制药
2.美国Amerilure公司
该公司与秘鲁当地种植户合作,提供不同类型的胭脂虫红,包括高色调、金色、蓝色色调、紫色色调、粉色色调和黄色色调,并具有根据客户规格调整色调和pH值的附加功能。

图源:Amerilure
目前,Amerilure是化妆品行业胭脂虫红粉主要供应商之一,与大型化妆品生产商建立了良好关系。
3.秘鲁Biocon Colors
该公司推出的产品是由胭脂红酸与钙和铝沉淀得到,溶于碱溶液,颜色从粉色到紫色,具有良好的温度和光稳定性,可应用于多种食品。

图源:Biocon Colors
我国本无胭脂虫的天然分布,20世纪90年代末中国林业科学研究院资源昆虫研究所引入了它,并在我国西南地区成功繁育。但受限于养殖、分离等“卡脖子”技术,我国还没有形成相关的规模产业,胭脂虫红一直依赖进口。
但是我国对于胭脂虫红的开发也在进行,主要集中在胭脂虫的生物学特性、生态学特性、人工规模化繁养技术,胭脂虫红色素的提取以及胭脂虫红色素在检测指示剂方面的应用等。
05 应用
因为胭脂虫红具有强烈的色泽度和极高的色牢度,所以也是世界上最珍贵的天然红色染料之一。这一稀有且昂贵的天然染料,19世纪以前被广泛地应用于纺织品中(前面的故事有提到)。
目前,胭脂虫红仍作为一种重要的红色染料应用于纺织品中,还应用于食品、饮品、化妆品以及医药品等。
据植提桥了解,全球食品和饮料行业的持续增长是胭脂虫红市场增长的关键因素之一。胭脂虫红在食品领域广泛用于烘焙和糖果产品、软饮料、草莓和果酱。
此外,肉类行业对着色剂的需求不断增长,化妆品和个人护理产品不断增长的需求,这些因素都在推动该市场的增长。
Research And Markets 发布的市场数据显示,2021年,全球胭脂虫红市场规模达4720万美元,预计2027年市场规模将达6850万美元,2022-2027年的复合年增长率为6.1%。
胭脂虫红出色的PH值稳定性和耐高温特性,以及特殊虫虫的天然来源,赋予了这款原料独特而神秘的属性,也成为产品高端化的标志之一。
比如早在2012年,星巴克就使用天然胭脂虫红制作甜点和草莓星冰乐。但在这之后却引发了一些消费者的强烈抗议,他们认为星巴克欺骗消费者,添加了用“昆虫尸体”制成的色素。
最终,为了回应顾客要求,星巴克还是换下了胭脂虫红,而使用番茄红素来代替。

图源:星巴克官网
此外,胭脂虫红也是我国允许使用的化妆品原料,还可用于口红、粉底、眼影、眼线膏、指甲油等产品中。尤其是口红产品,因其无毒、无害、色彩鲜亮,大大提升了产品品质,当然价格也很有品质。
06 限制
相较合成色素,天然色素常常毒副作用小,应用越来越广泛。胭脂虫红作为一种天然色素,整个消费市场对它的需求也在不断增长,具有很大的商业价值。
但由于清真认证需求以及近年来植物或素食产品的发展趋势,胭脂虫红的应用也受到了限制,因为很多人觉得它是虫子来源,感到恶心和不安全。
存在一个客观原因,胭脂虫红色素在生产过程中,如果除杂不完全的话,还有虫体蛋白残留,这可能会成为人体致敏原,使人体过敏,导致过敏性哮喘等,这也是胭脂虫红研究应用的重点之一。
还有重要的一点,由于胭脂虫红价格较高,我国多数厂家难以承受,所以一些经销商也将粉末状胭脂虫红色素做成水剂。或者选择更具我国特色的天然红色素产品,如辣椒红、甜菜红、红曲红等替代胭脂虫红或其它合成红色素。
07 结语
虽然胭脂虫红应用上还有一些限制,但是我国法规允许的适用范围在扩大,这是否也释放了该产品未来应用的方向(调理肉制品)呢?
我们再回到技术,就是当下最热的合成生物学。
若能通过对胭脂虫基因组大数据进行分析,明确胭脂红酸的合成途径,将合成途径基因转入大肠杆菌中,利用合成生物学创造能够生产胭脂红酸的大肠杆菌,便可实现胭脂虫红的“细菌工厂化”生产,实现室内批量化生产胭脂红酸,同时也可在生产过程中加入流程去除致敏蛋白,进而实现商业化用途。
当然,除了含金量高的技术研发外,拓展胭脂虫红更多适用的途径以及提高其商品价值等,都是该产品未来关注的方向。
附:
GB2760-2014中胭脂虫红的应用范围及使用量


图源:GB2760-2014
胭脂虫红扩大使用范围

图源:卫健委2022年第5号公告
参考文献:
1、郑乐怡,归鸿.昆虫分类(上)[M].南京师范大学出版社,1999:433-434
2、胭脂虫红色素加工技术与应用研究进展,张弘、郑华等,中国林业科学院资源昆虫研究所,中国工程院工程科技论坛,2010-0700105-07
3、胭脂虫及胭脂虫红色素的应用研究进展,汤沈杨 陈梦瑶等,应用昆虫学报. 2019,5